Целью этого исследования была оценка эффективности и безопасности монотерапии аброцитинибом у пациентов с диагностированным среднетяжелым и тяжелым атопическим дерматитом (АтД), особенно у лиц с сопутствующим аллергическим заболеванием.
Терапия аброцитинибом безопасна, эффективна и хорошо переносится пациентами с атопическим дерматитом с сопутствующим аллергическим заболеванием (таким как ринит, аллергическая астма, пищевая аллергия, конъюнктивит) или без него.
Целью этого исследования была оценка эффективности и безопасности монотерапии аброцитинибом у пациентов с диагностированным среднетяжелым и тяжелым атопическим дерматитом (АтД), особенно у лиц с сопутствующим аллергическим заболеванием.
В этом ретроспективном анализе использовали объединенные данные трех исследований, направленных на оценку эффективности применения аброцитиниба в качестве монотерапии. Эти исследования включали одно исследование IIb фазы и два исследования III фазы. В исследования включали лиц в возрасте 18 лет и старше (исследование IIb фазы) либо 20 лет и старше (исследования III фазы) с диагностированным АтД. В исследовании IIb фазы соответствующих критериям участников рандомизировали в соотношении 1 : 1 : 1 : 1 : 1 для получения аброцитиниба внутрь 1 раз в сутки в дозах 200, 100, 30 или 10 мг или плацебо в течение 12 недель.
В исследованиях III фазы участников рандомизировали в соотношении 2 : 2 : 1 для получения аброцитиниба внутрь 1 раз в сутки в дозах 200 или 100 мг или плацебо в течение 12 недель. Долю пациентов, достигших оценки заболевания исследователем (IGA) 0 (чистая кожа) или 1 (почти чистая кожа), определяли у пациентов как с сопутствующим аллергическим заболеванием (таким как ринит, аллергическая астма, пищевая аллергия, конъюнктивит), так и без него.
Кроме того, оценивали доли участников, достигших улучшения оценки по числовой рейтинговой шкале для оценки выраженности зуда (PP-NRS4) на ≥ 4 балла, индекса распространенности и тяжести экземы на ≥ 75 % (EASI-75) и дерматологического индекса качества жизни (DLQI) до значений < 2 (если исходное значение составляло ≥ 2). Дополнительные показатели включали оценку по шкале степени тяжести атопического дерматита (SCORAD), оценку по шкале оценки пациентом тяжести проявлений экземы (POEM), оценку по шкале оценки тяжести кожного зуда и симптомов атопического дерматита (PSAAD) и частоту развития нежелательных явлений, возникших в ходе лечения.
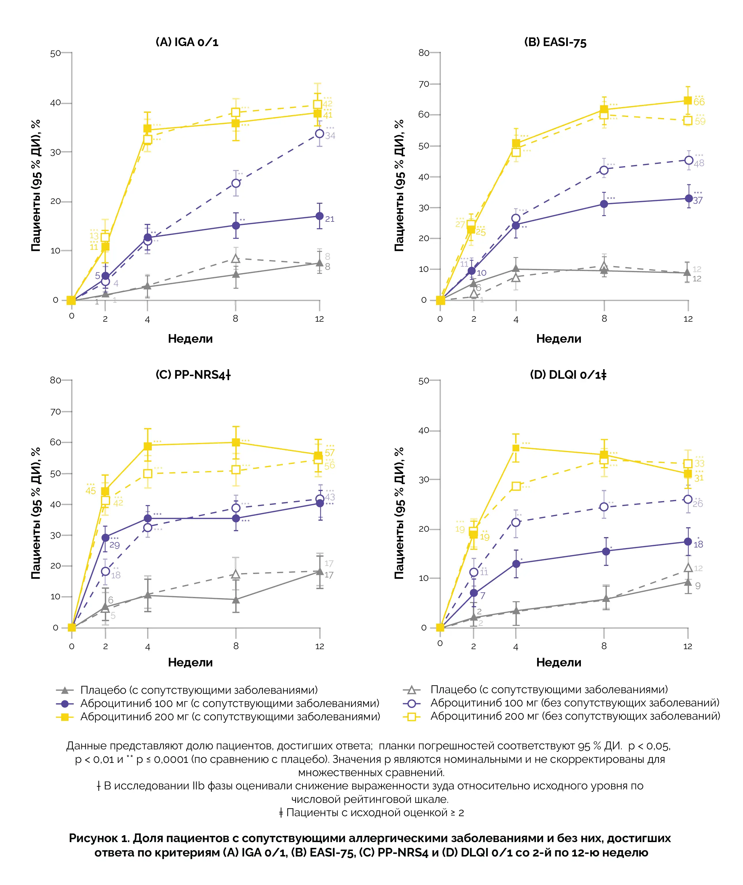
У 498 из 942 пациентов (53 %) имелось не менее одного сопутствующего аллергического заболевания. При этом у 33 % пациентов наблюдалась только бронхиальная астма, у 17 % пациентов — конъюнктивит и (или) ринит, а у 15 % пациентов — только пищевая аллергия. У 34 % пациентов наблюдалось более одного сопутствующего аллергического заболевания. Независимо от наличия сопутствующих заболеваний, со 2-й по 12-ю недели более высокая доля пациентов, получавших аброцитиниб в любой дозе, достигла ответа по критериям EASI-75, PP-NRS4, DLQI 0/1 или IGA 0/1, по сравнению с пациентами, получавшими плацебо (рисунок 1).

Терапия аброцитинибом обеспечила статистически значимо более выраженные изменения значений PSAAD, SCORAD и POEM относительно исходного уровня по сравнению с применением плацебо, независимо от наличия сопутствующих аллергических заболеваний (рисунок 2).

Аброцитиниб эффективен и хорошо переносится у пациентов со среднетяжелым и тяжелым АтД, независимо от наличия сопутствующих аллергических заболеваний. Таким образом, терапия аброцитинибом — перспективный метод лечения АтД у пациентов с сопутствующими аллергическими заболеваниями и без них.
Allergy
Efficacy and safety of Abrocitinib in patients with moderate-to-severe atopic dermatitis and comorbid allergies
Peter Schmid-Grendelmeier и соавт.
Комментарии (0)